|
|

ESAMI DI STATO
LICEO SCIENTIFICO PROVE DI MATEMATICA
P N I 2003 -- T E S T I
PROBLEMA 1
Nel piano sono dati: il cerchio g di diametro OA = a, la retta t tangente a g in A, una retta r passante per O, il punto B, ulteriore intersezione di r con g, il punto C intersezione di r con t.
La parallela per B a t e la perpendicolare per C a t s'intersecano in P. Al variare di r, P descrive il luogo geometrico G noto con il nome di versiera di Agnesi [da Maria Gaetana Agnesi, matematica milanese, (1718-1799)].
- Si provi che valgono le seguenti proporzioni:
OD : DB = OA : DP
OC : DP = DP : BC
ove D è la proiezione ortogonale di B su OA;
- Si verifichi che, con una opportuna scelta del sistema di coordinate cartesiane ortogonali e monometriche Oxy, l'equazione cartesiana di
- Si tracci il grafico di G e si provi che l'area compresa fra G e il suo asintoto è quattro volte quella del cerchio y.
PROBLEMA 2
Sia
con a,b,c numeri reali. Si determinino a,b,c in modo che:
- la funzione f sia pari;
- f(0)=2;
-
Si studi la funzione g ottenuta sostituendo ad a,b,c i valori così determinati e se ne disegni il grafico G.
Si consideri la retta r di equazione y=4 e si determinino, approssimativamente, le ascisse dei punti in cui essa interseca G, mettendo in atto un procedimento iterativo a scelta.
Si calcoli l'area della regione finita del piano racchiusa tra r e G.
Si calcoli
Si determini la funzione g' il cui grafico è simmetrico di G rispetto alla retta r.
QUESTIONARIO
- Quante partite di calcio della serie A vengono disputate complessivamente (andata e ritorno) nel campionato italiano a 18 squadre?
- Tre scatole A, B e C contengono lampade prodotte da una certa fabbrica di cui alcune difettose.
A contiene 2000 lampade con il 5% di esse difettose, B ne contiene 500 con il 20% difettose e C ne contiene 1000 con il 10% difettose.
Si sceglie una scatola a caso e si estrae a caso una lampada. Quale è la probabilità che essa sia difettosa?
- Quale è la capacità massima, espressa in centilitri, di un cono di apotema 2 dm?
- Dare un esempio di polinomio P(x) il cui grafico tagli la retta y=2 quattro volte.
- Dimostrare, usando il teorema di Rolle [da Michel Rolle, matematico francese, (1652-1719)], che se l'equazione:
ammette radici reali, allora fra due di esse giace almeno una radice dell'equazione:
- Si vuole che l'equazione
abbia tre radici reali. Quale è un possibile valore di b?
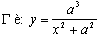
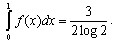
- Verificare l'uguaglianza:
e utilizzarla per calcolare un'approssimazione di , applicando un metodo di integrazione numerica.
- Dare un esempio di solido il cui volume è dato da
.
- Di una funzione f(x) si sa che ha derivata seconda uguale a senx e che.
Quanto vale
- Verificare che l'equazione
ammette tre radici reali. Di una di esse, quella compresa tra 0 e 1, se ne calcoli un'approssimazione applicando uno dei metodi numerici studiati.
 |
|