|
|

| |
Ecco proposti alcuni esercizi e giochi matematici con relative risposte. E' consigliabile prima rispondere alla domanda, cliccando su una lettera e poi, eventualmente, confrontare la risposta data con quella fornita dall'autore insieme alla spiegazione. |
|
|
1) Dati tre numeri a, b, c, supponiamo che il massimo comun divisore fra essi sia 1. Allora:
2) Due numeri naturali x e y sono tali che la loro somma più il loro prodotto dà un numero pari, ma non divisibile per 4. Si può concludere che:
|
| 3) Dato un quadrato ABCD di lato l , siano M e N i punti medi di BC e CD . L'area della parte comune ai triangoli ABM e BCN é:
|
| 4) Si consideri il poligono intrecciato in figura. La somma dei cinque angoli indicati è uguale a:
|
| 5) Nella figura seguente ogni circonferenza passa per il centro delle altre due. Sapendo che la lunghezza del raggio della circonferenza è 1 , qual è l'area della figura colorata?
|
| 6) Una statua in bronzo, piena e alta 60 cm viene fusa e, dal metallo ottenuto, si ricavano delle copie in scala, ciascuna alta 10 cm. Quante copie si possono ottenere? |
| 7) AB e BC sono due diagonali delle facce di un cubo. Quanto misura l'angolo ABC ?
|
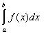
8) Se nell'integrale
si opera la sostituzione x = 3t si ottiene:
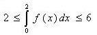
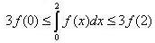
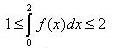
9) Se f(x) è una funzione continua in [0,2] e si sa che 1 < f(x) < 3 allora risulta
|